新潟
- HOME
- >
- 学習センター一覧
- >
- 新潟学習センター
- >
- 新潟学習センターブログ
- >
- 【新潟】なぜ、どうして? シリーズ第2回
新潟日記
【新潟】なぜ、どうして? シリーズ第2回
こんにちは。新潟学習センターの松尾です。
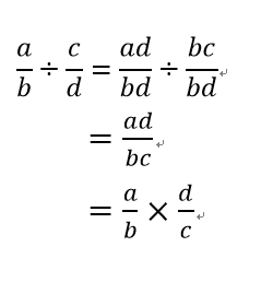
今回は分数の割り算はなぜ
「割る数」
をひっくりかえしてかけるの? です。
これは、次のように説明してみました。

いかがでしょうか。
・
新潟学習センターでは転入学を検討中の高校生、
新入学を検討中の中学3年生のご相談を受け付けています。
※学校見学は随時受付しております。※
お早目の見学をおすすめします。
土日も事前にご連絡頂ければ対応可能です♪
新潟学習センターまでお申込みください♪
電話 025-246-0550 メール niigata@hchs.ed.jp
LINE @583qvrpz
お気軽に遊びに来てください♪
新潟学習センターのTwitterがスタートしています。
色んな情報をつぶやくので フォローしてみてください!!
゚・。+☆+。・゚・。+☆+。・゚・。+☆+。・゚・。+☆+。・゚・。+☆+。・゚・。+☆+。・゚・。+☆+。・゚
【学校見学・体験授業・個別相談随時受付中】
通信制高校のヒューマンキャンパスのぞみ高等学校
新潟学習センターは「若者の街・万代」がキャンパスです
新潟県内3つの校舎(新潟・十日町・魚沼)
選べる校舎と登校日
基礎からの学び直し・不登校支援・資格取得と専門教育・細やかな支援指導
お電話でのお問い合わせ 025-246-0550📱LINEでのお問い合わせ https://lin.ee/h82t1mo
メールでのお問い合わせ niigata-hn@hchs.ed.jp゚・。+☆+。・゚・。+☆+。・゚・。+☆+。・゚・。+☆+。・゚・。+☆+。・゚・。+☆+。・゚・。+☆+。・゚















